Skip to content
The effect of life events on life satisfaction
From
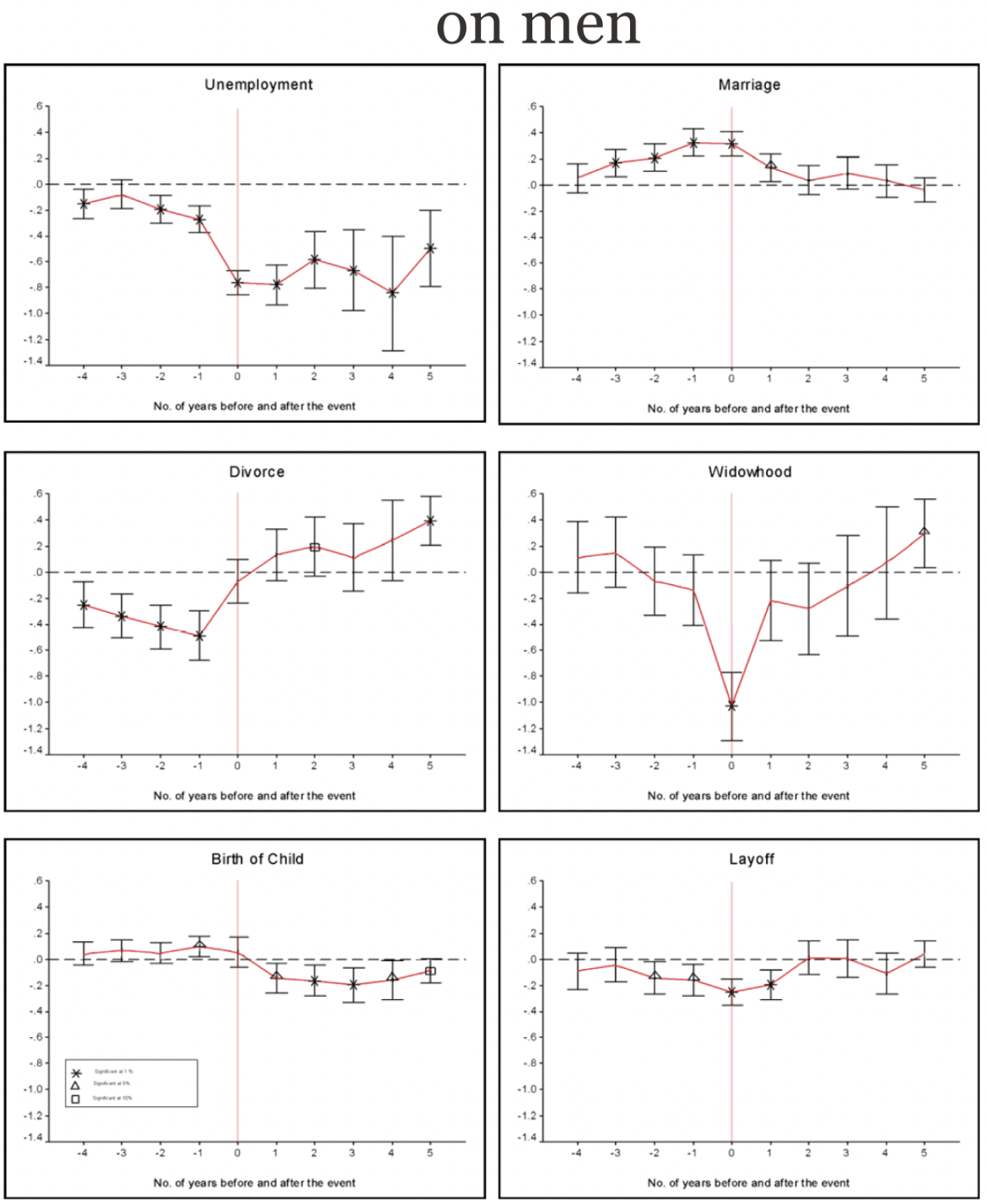
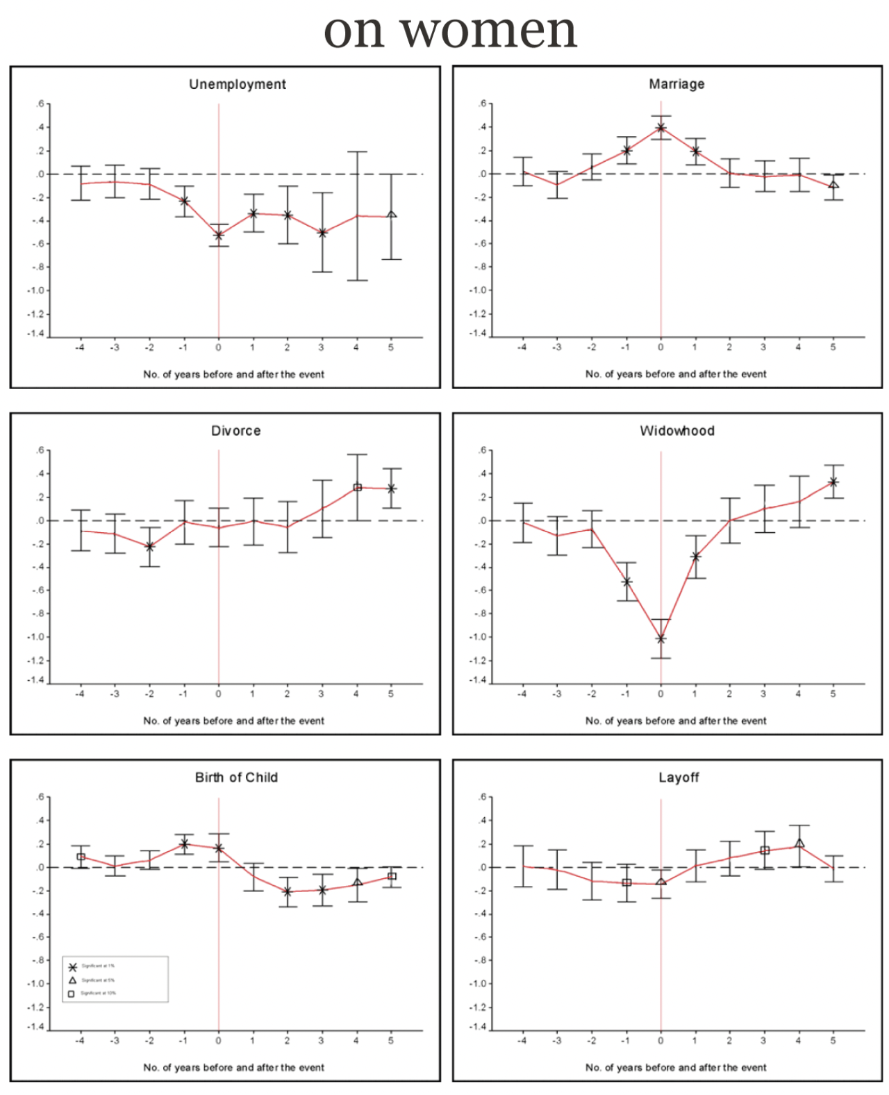
How do common life events affect happiness?
Society
Interested in more?
Biology
Business Dynamics
Career
Cognitive Psychology
Corporate Strategy
Economics
Emerging Technologies
Finance
Future of Work
History
Market Trends
Marketing
Mindsets
Product Development
Society
Startups
Venture Capital
Everything